首页
概况
展览
藏品
研究
教育
服务
文创
中文
EN
한국어
日本語
首页
>>
藏品
>>
书画
>>
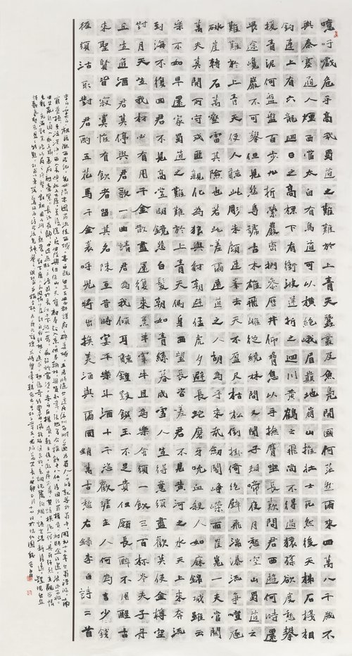
2023年魏会昌书法《李白诗》
藏品
书画
碑刻
古籍图书
其他
档案文书
2023年魏会昌书法《李白诗》
魏会昌书法《李白诗》
时代:2023年
质地:纸
尺寸:95cm×180cm